News & Events
29.04.2024
An article published by Jose Ramón Leiza's group among top downloads in Macromolecular Reaction Engineering
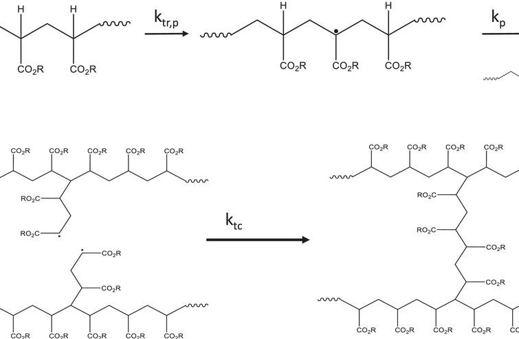
The research article "Oil-Based versus Bio-Based C8 Alkyl Chain (Meth)Acrylates in Emulsion Polymerization: Kinetics and Microstructure” published in Macromolecular Reaction Engineering by POLYMAT researchers Amaia Agirre, Aitor Barquero and Jose Ramón Leiza has received enough downloads to rank within the top 10% of papers published.
Read the article here.
